Results showed a significant increase in the catch of Nephrops langoustines in the treatment trawl, in the range 20–62 mm carapace length

The catch composition in many demersal trawl fisheries has a mixed nature where different groups of species, including fish, crustaceans, and mollusks, are caught during the same fishing operation. Trawl designs are not specialized in catching a specific species efficiently, but rather a range of different species that together make up the catch value. Demersal trawls in mixed fisheries are often constructed using a narrow range of mesh sizes throughout the length of the gear. These mesh sizes will largely mechanically retain marketable sizes of most species targeted.
Balancing species and size selectivity to meet ecologic and economic goals is difficult, and several demersal trawl fisheries have been associated with unsustainable catch rates of unwanted and sensitive species and sizes. The langoustine (Nephrops norvegicus) directed trawl fisheries in the northeast Atlantic is one of these challenged mixed species fisheries. The fundamental challenge is that it requires a relatively small mesh size to retain Nephrops efficiently, which can result in a substantial catch of undersized fish, or alternatively, using a larger mesh size that will reduce the catch efficiency for Nephrops.
There has been extensive effort over the past decades to minimize unwanted bycatch in these mixed species trawl fisheries by developing a range of selective devices of which; however, only few are in use today. The primary strategy to improve trawl selectivity has been to include selective devices in the aft part of the gears to provide different types of escape routes for unwanted species and sizes, by further stimulating the escapement in such, or to develop more specialized and species selective trawl designs or towing rig configurations.
The behavioral differences between fish and crustacean species during the capture process are likely related to swimming modes and capabilities. The poor swimming abilities of the benthic-living crustaceans and flatfish results in more frequent netting contacts throughout the full length of the trawl compared to capable swimming, demersal roundfish actively avoiding contact with the netting when passing through the trawl towards the codend. These distinct behavioral differences are, however, not reflected in the designs of demersal trawls used in, for example, the mixed fisheries in the North Sea and adjacent waters where the trawl designs are constructed with similar mesh sizes throughout the length of the gear.
This article – summarized from the original publication (Krag, L.A. et al. 2025. Using species-specific behavior to improve catch efficiency of target species in mixed trawl fisheries. Fisheries Research Volume 281, January 2025, 107232) – reports on research to use limited gear modifications and known behavioral differences between roundfish and Nephrops in a demersal trawl, to improve the catch efficiency for Nephrops without reducing the size selectivity for roundfish.
Crustacean ‘hotel rooms’ seen as food waste and quality solutions for Norway’s small fishing boats
Study setup
The study was conducted on-board a commercial fishing vessel rigged with a twin-trawl system in the mixed species fishery in the northern-central North Sea. Historically, this fishery has a low quota-utilization for Nephrops. A total of 14 successful hauls were conducted with an average towing time of 4 hours and 29 minutes.
Gear modifications were limited from the treatment trawl to the forward and conical section of the gear, as such modifications do not conflict with the current technical regulation for EU waters, and therefore can be directly used by fishers. Reducing the mesh size in the lower panel of the trawl may result in an increase in the catch of small Nephrops under the minimum conservation reference size (MCRS). Thus, based on morphological measurements other researchers, we constructed a design guide to discuss optimal mesh shapes and sizes for size selectivity of Nephrops in trawls.
The entire catch was sorted by species for each haul, and all commercial fish species were measured to the nearest cm. Of these, species caught regularly and in numbers above 10 individuals per haul were subjected to selectivity analysis. The catch of Nephrops was subsampled in 10 out of 14 hauls due to large catches. The subsamples consisted of 500–1000 measured individuals from each codend. The carapace length of Nephrops was measured to the nearest mm using electronic calipers.
For detailed information on the experimental design, equipment used, data collection and analyses, refer to the original publication.

Results and discussion
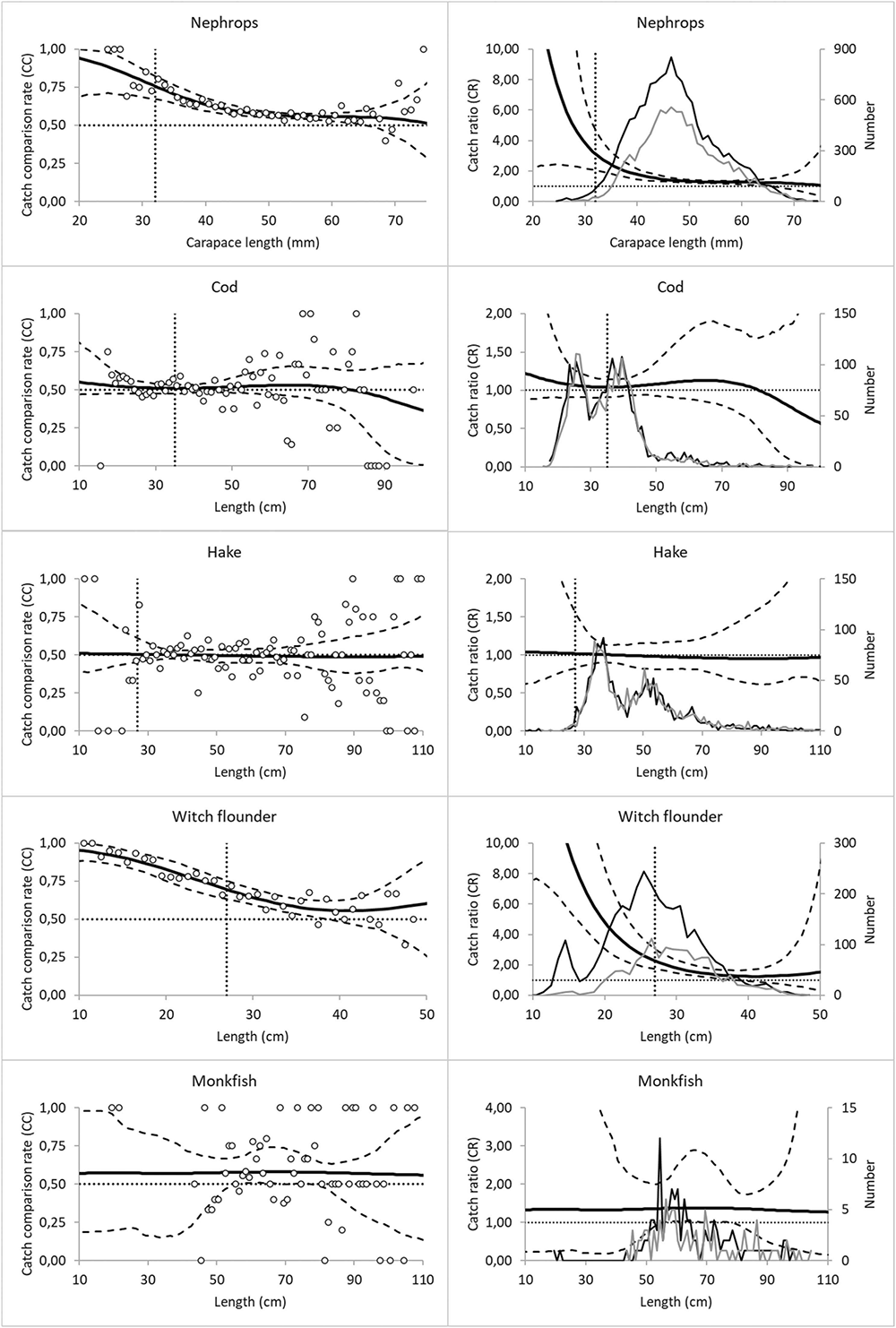
There was a significant increase in the catch of Nephrops in the treatment trawl, in the range of 20–62 mm carapace length. The difference was length-dependent and decreased with size. The relative catch efficiency in the treatment trawl compared to the baseline trawl was 147.2 percent (CI: 133.6 – 160.2 percent) when summed over sizes of Nephrops above the MCRS of 32 mm carapace length. This corresponds to an increase in catch efficiency of 47.2 percent (CI: 33.6–60.02 percent). Similarly, the catch efficiency of individuals below MCRS increased significantly with 283 percent (169.2 –722.4), however the catch proportion of undersized individuals was low (Fig. 2).

Our study demonstrates that simple design changes to existing commercial trawls that are based on an established understanding of fish and shellfish behavior can significantly change gear selectivity and catch efficiency of target species, as for Nephrops. The replacement of 120 mm diamond meshes with 90 mm diamond meshes in the lower half of the trawl body increased the catch efficiency of Nephrops larger than the minimum conservation reference size (MCRS) of 32 mm carapace length by 47 percent. In other words, a substantial amount of valuable catch was lost through the 120 mm meshes used in the baseline (commercial) gear as Nephrops contact the netting during their passage towards the codend.
Where exactly Nephrops primarily were lost along the wings and body of the baseline trawl is uncertain. However, we expect that the lower wings have a very low catch efficiency based on the large mesh size (160 mm) in combination with a mean mesh opening angle of 39.5 degrees as well as the vertical netting orientation, or angle of attack, when encountering Nephrops.
We established a design guide which predicts the selectivity of different size groups of Nephrops as a function of mesh opening angle and mesh sizes. To directly evaluate the catch efficiency for Nephrops of both the full length of the commercially used trawl design (i.e., baseline) and its different sections we used flume (testing) tank measurements of selected netting sections, i.e. we extracted mesh opening angles on a scale trawl model and coupled these to the predicted sizes selectivity from the design guide. The demonstrated method can be used to evaluate potential size selectivity in any trawl design targeting any species.

For fish, the 120 mm mesh size and large mesh opening angle of about 85 degrees in the baseline trawl netting will allow relatively large individuals to escape through the meshes. The predicted size selectivity, for example for cod, is about 42 cm, and using morphological cross section descriptions other researchers, even larger hake can escape through such meshes. Except for the catch of witch flounders, this study shows that gear modifications in terms of mesh sizes reductions in the trawl body can be made without effecting the size selectivity for the fish species caught.
During recent decades, research has established some overall fish behavioral patterns in relation to the capturing processes of demersal trawls, and describes how roundfish swim in front of the trawl mouth until they fall back and enter the netting part of the gear. When the fish eventually enter the extension area in the trawl, increased crowding may elicit randomly oriented burst-swimming behavior causing collisions with netting or other fish, or even the escape of small individuals through the side and upper meshes of the trawl net. We did not detect any difference for cod and hake in the catch-ratio plots between the baseline and the treatment gear along the entire length range of the caught populations, which spanned from about 15 cm to around 100 cm total body length.
Results also suggest that an asymmetric design would be more appropriate for the Nephrops-directed mixed fisheries, where the lower half of the trawl consists of relatively small meshes suitable for size selectivity of Nephrops, e.g., 90 mm, and the upper half of substantially large meshes e.g., 200–300 mm designed to either retain roundfish or release them through the meshes.
We used 40 mm meshes inliners in the codends of both gears to sample the population of the different species entering the codends. If the increase in the catch of Nephrops >MCRS and marketable witch flounders as observed in the treatment trawl were to enter a commercial 120 mm codend, a large part of the individuals would be lost through size selectivity in the codend meshes. Assuming that an average mesh opening angle in the codend meshes is ranging from 30 to 60 degrees, the established design guide for Nephrops predicts a size selectivity range of 48–78 mm carapace length for the codend selectivity in the 120 mm codend. The predicted codend size selectivity for Nephrops indicates that the observed increase in individuals <MCRS in the treatment trawl will be selected out in a 120 mm codend and to a large extent, also in a 90 mm codend where predicted size selectivity values range from 36 to 58 mm carapace.
The irregular morphology of Nephrops due to its appendages and the shape of the diamond meshes typically result in a flat selection curve for Nephrops. Using other mesh types than diamond meshes in the lower half of the trawl – e.g., hexagonal or rectangular meshes that better resembles the decisive cross-section shape for mesh selection of Nephrops – could improve the size selection and likely also the steepness of the selection curve for Nephrops so that selection occurs over a smaller size range.
Perspectives
An increase in the catch efficiency for Nephrops of almost 50 percent would change the catch composition in a fishery and require that the available quota can support such a change. The Nephrops stocks in the northern North Sea have, over time, not only shown to be harvested within biological sustainable levels, but the total allowable catch (TAC) levels for Nephrops are typically not fully utilized in contrast to most quota–regulated fish species caught in these mixed fisheries. The commercial gear currently used loses half of the Nephrops entering the trawl forward of the codend.
When fishing vessels spend the trawling effort and derived fuel consumption, CO2 emission and other ecosystem impacts (i.e., seabed disturbance and unwanted bycatch) to catch, in this case, Nephrops from a healthy stock, then the allowed marketable sizes should be caught as efficiently as possible and not be lost due to operational inefficiency. Improvement of fisheries efficiency is vital to achieve restored and healthy ecosystems and thus the objectives of the EU Common Fisheries Policy management of long-term sustainable exploitation of robust stocks.
Now that you've reached the end of the article ...
… please consider supporting GSA’s mission to advance responsible seafood practices through education, advocacy and third-party assurances. The Advocate aims to document the evolution of responsible seafood practices and share the expansive knowledge of our vast network of contributors.
By becoming a Global Seafood Alliance member, you’re ensuring that all of the pre-competitive work we do through member benefits, resources and events can continue. Individual membership costs just $50 a year.
Not a GSA member? Join us.
Authors
-
Ludvig A. Krag
Corresponding author
DTU Aqua, Technical University of Denmark, North Sea Science Park, Hirtshals, 9850, Denmark[107,100,46,117,116,100,46,97,117,113,97,64,107,97,108]
-
Rikke P. Frandsen
DTU Aqua, Technical University of Denmark, North Sea Science Park, Hirtshals, 9850, Denmark
-
Bent Herrmann
DTU Aqua, Technical University of Denmark, North Sea Science Park, Hirtshals, 9850, Denmark
-
Grete E. Dinesen
DTU Aqua, Technical University of Denmark, Kongens Lyngby, Denmark
-
Junita D. Karlsen
DTU Aqua, Technical University of Denmark, North Sea Science Park, Hirtshals, 9850, Denmark
Tagged With
Related Posts
Fisheries
Bottom trawling linked to high greenhouse gas emissions in MPA-supporting study
A study touts marine protected areas and bottom trawling bans, but its methods and conclusions are questioned by fellow researchers and fishers.
Responsibility
Is the seafood industry prepared for the next level of transparency under CSRD?
The EU's Corporate Sustainability Reporting Directive (CSRD) raises concerns about supply chain traceability and reporting accuracy.
Aquafeeds
IFFO, GAA urge Asian trawl fisheries to improve stocks, product quality
Fisheries improvements projects (FIPs) are an important mechanism for bettering South East Asian fisheries that supply into the aquafeed industry, a new report finds.
Fisheries
MarinTrust launches multispecies fishery assessment framework
Complex multispecies fisheries, like many in Southeast Asia, are difficult to manage and require an unconventional approach to certification.
