Alternative feed ingredient promotes growth and immune responses in Pacific white shrimp

The Pacific white shrimp (Litopenaeus vannamei) is the most important cultured shrimp species in the world. In addition to having fast growth rates and other desirable characteristics for culture, this shrimp species can well utilize higher inclusion levels of plant ingredients relative to other farmed shrimp species, such as the Kuruma shrimp or the black tiger shrimp.
Fishmeal has a high-nutritional value but its cost can be very high and vary in supply over time, and its availability may decline and prices increase in the future. Other less expensive and more readily produced protein sources are needed for the manufacture of shrimp and all aquafeeds. Soybean meal is the most widely used plant ingredient in the aquafeed industry. However, it has some limitation, including its deficient levels of methionine and lysine, and the presence of anti-nutritional factors such as trypsin inhibitors, hemagglutinin, phytic acid, saponin, phytoestrogens and others.
In Asia, the quality of soybean meal is traditionally improved through bioprocessing by using microorganisms, including Lactobacillus spp., Bacillus spp., Aspergillus spp. and others. Bioprocessed soybean meal has decreased anti-nutritional factors and protein molecular weight, and increased levels of organic acids and small peptides.
In a previous study, we showed that bioprocessed (hydrolyzed) soybean meal protein can be used as an alternative protein source in grouper and barramundi diets. Hydrolyzed soy protein can replace 30 percent of fishmeal in grouper diets without any negative effects on fish growth, and groupers fed diets with fishmeal replaced by hydrolyzed soy protein at 20 to 40 percent showed higher immune responses than fish fed diets with other fishmeal inclusion levels. Similar results were found for barramundi, with fish fed a diet with 20 to 30 percent replacement of fishmeal by hydrolyzed soy protein showed higher immune responses than fish fed diets with other fishmeal inclusion levels.
Here we present the results of two studies to evaluate the use of hydrolyzed soy protein substituting fishmeal in diets for Pacific white shrimp. In the first experiment, the digestibility of hydrolyzed soy protein compared with fishmeal and soybean meal were determined. In the second experiment, we measured the effects of replacement levels of fishmeal by hydrolyzed soy protein on shrimp growth and immune responses.
Digestibility of soybean meal and hydrolyzed soy protein
The formulation of reference and test diets for Pacific white shrimp is included in Table 1. The test diet contained 70 percent of the reference diet and 30 percent test ingredients, including brown fishmeal from a commercial supplier in Peru, soybean meal from a commercial supplier in Taiwan, and hydrolyzed soy protein (Lactobacillus spp. – fermented soybean meal from a commercial supplier, DaBomb Protein, in Taiwan). Both reference and test diets were supplemented with 0.5 percent chromium oxide as an inert indicator. Reference and test diets were hand-made in our lab at the National Pingtung University of Science and Technology (Pingtung, Taiwan).
| Ingredients (%) | Reference diet | Test diet |
|---|---|---|
| Fishmeal | 55 | 38.5 |
| Fish oil | 1.7 | 1.2 |
| Squid liver meal | 5 | 3.5 |
| Gelatinized starch | 26 | 18.2 |
| Gluten | 8 | 5.6 |
| Vitamin mixture | 1 | 0.7 |
| Mineral mixture | 2 | 1.4 |
| Cholesterol | 0.05 | 0.035 |
| Choline chloride | 0.1 | 0.07 |
| Cr2O3 | 0.5 | 0.5 |
| Alpha cellulose | 0.65 | 0.0295 |
| Test ingredient | – | 30 |
The juvenile shrimp used in this study were procured at a local hatchery (Pingtung, Taiwan). At the beginning of the experiment, 25 shrimp (mean weight: 3.93 ± 0.12 g) were stocked in each experimental tank (300 L FRP). Each experimental diet was fed to three groups of shrimp. Each tank was part of a closed-recirculating system with seawater. A photoperiod of 12 hours light (0800-2000h), 12 hours dark was used. Water temperature of the rearing system was 28±1°C. Shrimp were fed 6 percent of their body weight per day. The daily ration was divided into two equal meals (09:00 and 17:00 h). After the first feeding, the uneaten feed and fecal residues were removed and the feces were collected at 11:00, 12:00, 13:00, 14:00 and 15:00 by a feces collection column. Feed and feces were analyzed the proximate composition by the AOAC method and chromium (Cr) concentration using an atomic absorption spectrophotometer.

For soybean meal and hydrolyzed soy protein, we determined the distribution of molecular weight of protein by HPLC. The calculation of apparent digestibility coefficient (ADC) was shown as below:
ADC-DM (percent) = 100 × (percent Cr in feed / percent Cr in feces)
ADC-CP (percent) = 100 × [1- (percent Cr in feed / percent Cr in feces) × (percent CP in feces / percent CP in feed)]
ADCi=ADCt + [(0.7 × Nr) / (0.3 ×Nt)] × (ADCt – ADCr)
With DM: dry matter; CP: crude protein; i: test ingredient; t: test diet; r: reference diet; N: nutrient composition
The results showed that ADC-DM was higher (P<0.05) in fishmeal (72.26 percent) and hydrolysis soy protein (73.05 percent) than that in soybean meal (64.79 percent). The ADC-CP was the highest in fishmeal (86.78 percent), followed by hydrolysis soy protein (84.23 percent) and lowest in soybean meal (80.44 percent).
Fig. 1A shows the molecular weight of soybean protein majorly distributed at 30 – 70 kDa (66.7 percent). Results clearly indicate that, after bioprocessing by Lactobacillus spp., the molecular weight of hydrolyzed soy protein was majorly distributed at ≤ 30 kDa (75.39 percent) (Fig 1B). Hence, a higher digestibility of hydrolyzed soy protein over soybean meal is expected. We concluded that apparent dry matter and crude protein digestibility of soy protein for Pacific white shrimp can be improved through bioprocessing with Lactobacillus spp.

Effects of substitution of hydrolyzed soy protein to fishmeal
In the second experiment, we conducted an 8-week growth trial to evaluate the effect of substitution of fishmeal protein by hydrolyzed soy protein in diets on growth and immune responses of Pacific white shrimp. Brown fishmeal was replaced by hydrolyzed soy protein at 0, 5, 7.5, 10, 15 and 20 percent as protein percentage.
Shrimp with an initial weight of 8.5 grams were reared in an outdoor, 10,000-liter cement pond at a density of 360 shrimp. Shrimp were under natural photoperiod and water temperature was 25 to 27.8 degrees-C. Shrimp were fed 4 percent of their body weight per day, and the daily ration was divided into two equal meals (09:00 and 17:00 h).
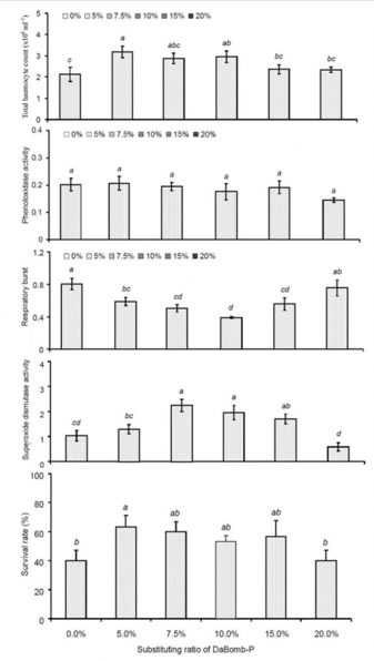
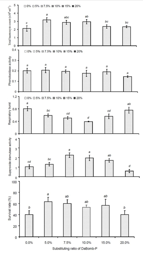
Weight gain and feed conversion ratio (FCR) were measured as growth parameters. For evaluation of immune responses, total haemocyte count, phenoloxidase, respiratory burst, superoxide dismutase activity and survival rate after challenge test of Vibrio alginolyticus were determined.
Weight gain and FCR were not affected (P<0.05) by the dietary treatments. These results indicated that fishmeal replaced by hydrolysis soy protein did not cause negative effects on growth performance, suggesting hydrolysis soy protein can substitute fishmeal by at least 20 percent in a white shrimp diet.
Total haemocyte count was higher (P<0.05) in animals fed the diet with 5-10 percent replacement of fishmeal by hydrolyzed soy protein vs. the all fishmeal diet (0 percent replacement) Shrimp fed the diet with 7.5 to 15 percent substitution of fishmeal by hydrolyzed soy protein had higher haemolymph superoxide dismutase activity than shrimp fed diets with 0 and 20 percent substitution.
After shrimp were infected with the pathogenic Vibrio alginolyticus, results showed that the groups fed the diet with 5 to 15 percent replacement of fishmeal by hydrolysis soy protein had higher survival rates than those animals on the diets with 0 and 20 percent replacement (Fig. 2).

In this experiment, supplementation of hydrolyzed soy protein in the white shrimp diet appeared to show a positive effect on immune responses. This might possibly be due to the additional function of the hydrolysates (small peptides) of soy protein, which has been observed in other farmed species like Atlantic salmon and Japanese flounder.
In the 20 percent substitution ratio group, the immune responses of shrimp were decreased. This might be due to imbalanced nutrition, such as limiting amino acids, or residual presence of anti-nutritional factors. But an appropriate ratio of hydrolyzed soy protein partially substituting fishmeal appears to enhance immunity of Pacific white shrimp. Based on observed growth performance, we concluded that hydrolyzed soy protein at 20 percent substitution of fishmeal protein is appropriate. In addition, the recommended substituted level for hydrolyzed soy protein to enhance immune responses of white shrimp is 15 percent.
Perspectives
In our study, we demonstrated that hydrolyzed soy protein can be well digested and utilized by white shrimp, and that the digestibility of soy protein is improved through bioprocessing with Lactobacillus spp. We also demonstrated that hydrolyzed soy protein is a potential alternative protein source for white shrimp. The recommended substitution levels of this protein source to fishmeal protein are 20 percent and 15 percent for growth performance and immune responses, respectively.
References available from authors.
Authors
-
Dr. Yu-Hung Lin
Department of Aquaculture
National Pingtung University of Science and Technology,
Pingtung, Taiwan ROC[119,116,46,117,100,101,46,116,115,117,112,110,46,108,105,97,109,64,110,105,108,103,110,117,104,117,121]
-
Kevin Liu
DaBomb Protein Corporation
Tainan, Taiwan ROC
www.dabombprotein.com
Tagged With
Related Posts
Health & Welfare
Study: Inbreeding affects body weight, not survival, in white shrimp
Inbreeding commonly causes a decrease in the mean values of traits of productive interest in aquaculture. Results of a study, however, showed that inbreeding had no effect on grout survival of Pacific white shrimp from 65 to 130 days of age.
Health & Welfare
New management tools for EHP in penaeid shrimp
Authors examined the histological features from shrimp infected with the emerging microsporidian parasite Enterocytozoon hepatopenaei (EHP). A PCR assay method was used to detected in hepatopancreatic tissue, feces and water sampled from infected shrimp tanks, and in some samples of Artemia biomass.
Health & Welfare
Probiotics benefit Pacific white shrimp challenged with AHPND
A study was conducted to measure the effects of commercial probiotics on Pacific white shrimp in a standardized AHPND challenge model under controlled laboratory conditions. Results show that the probiotics treatments by themselves have beneficial effects, such as higher survival and histological signs of hepatopancreas regeneration.
Aquafeeds
Biofloc consumption by Pacific white shrimp postlarvae
The stable isotopes technique with δ13C and δ15N can be used to determine the relevance of different food sources to shrimp feeding during the pre-nursery phase of Litopenaeus vannamei culture. During this trial, different types of commercial feed, microalgae, Artemia sp. nauplii and bioflocs were used as food sources.