Dietary inclusion promotes optimal physiological, oxidative stress and immunological conditions for increased sperm production

Vitamins play an important role in promoting growth and maintaining the overall health of shrimp; however, their specific dietary requirements remain poorly defined. Among these, vitamin C (ascorbic acid) is particularly important, as shrimp are incapable of synthesizing it de novo.
Adequate supplementation of dietary vitamin C improves survival, antioxidant capacity, and non-specific immune response in postlarvae and juvenile shrimp. Regarding broodstock shrimp, research on vitamin C requirements remains limited, despite the global importance of shrimp aquaculture, but there appears to be a potential link between vitamin C and reproductive performance.
Achieving reproductive success in shrimp in captivity requires adequate nutrition for both female and male broodstock; however, males have received little attention in comparison to females. To date, shrimp broodstock feeding protocols rely on fresh frozen food supplemented with artificial diets to ensure an adequate supply of essential nutrients such as vitamins, typically provided through a vitamin premix.
One of the major challenges in aquaculture of Pacific white shrimp (Penaeus vannamei) is the melanization (immune response resulting in dark pigmentation) of the male broodstock reproductive tract, which results in reduced sperm quality and thus affects fertilization rates and nauplii output. This physiological disorder has frequently been associated with oxidative stress related to nutritional factors.
This article – summarized from the original publication [Montalvo, G. et al. 2025. Effect of Vitamin C on the Antioxidant and Immune Response of Male White Shrimp (Penaeus vannamei) Broodstock. Antioxidants 2025, 14(8), 988] – reports on a study that evaluated the effect of L-ascorbyl-2-phosphate, included in feed, as a source of vitamin C on the physiological condition, immune and antioxidant responses in the reproductive tract, and sperm quality of P. vannamei male broodstock under culture conditions.
Study setup
Broodstock P. vannamei males (mean ± standard deviation = 20 ± 3.6 grams initial wet weight) were procured from UMDI Sisal, Facultad de Ciencias, UNAM, Yucatán, México. The trial was conducted in a recirculation water system equipped with twelve circular 500-L fiberglass tanks and a 1,200-liter reservoir. Seven shrimp were randomly assigned to each tank, with three replicate tanks per dietary treatment. The animals were fed ad libitum three times daily, and after each feeding the tank bottoms were siphoned to remove any uneaten feed.
Four diets containing 42.5 percent protein, 11.5 percent lipids, and 23.5 percent carbohydrates were formulated with vitamin C (L-ascorbyl-2-polyphosphate, Stay-C® 35 ROVIMIX®, DSM de Mexico SA de CV, El Salto, México) at the following concentrations: 0.016 grams per kg (Basal diet), 0.322 grams per kg (A), 0.628 grams per kg (B), and 0.934 grams per kg (C).
The experimental assay lasted 30 days, at the end of which four unfed (starved) shrimp were randomly selected from each tank; there were three tanks for each diet, so a total of 12 samples were taken for each diet. Hemolymph was collected, and the reproductive systems were dissected and divided into two halves (including testis, spermatic conduct and terminal ampule) for biochemical and genetic analysis, respectively.
For detailed information on the experimental design, animal husbandry system and procedures, and data collection and analyses, refer to the original publication.
Results and discussion
The optimal vitamin C requirement – especially for male broodstock – has not been clearly established for most farmed species of penaeid shrimp, which may vary since different criteria have been used. In other words, it depends on the response variables. Many authors have studied vitamin C requirements based on weight gain and survival. This study used variables related to the physiological conditions, immune and antioxidant responses in the reproductive tract and sperm quality of male P. vannamei broodstock.
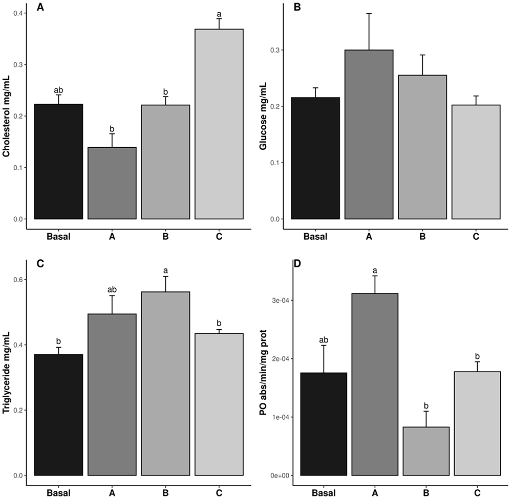
The results indicate that adding vitamin C to the diet of P. vannamei broodstock males has a positive effect, but up to a certain limit. Diet (B), supplemented with 0.628 grams per kg, seemed to generate a good physiological state, and resulted in an increase in the amount of sperm with respect to other treatments. Comparing these results with those obtained when we added the same amount of vitamin C to the diet of breeding males of P. brasiliensis shows that a higher amount (0. 934 grams per kg) of vitamin C is required to achieve a good physiological state of individuals. However, this amount may be excessive for P. vannamei because it increases the activity of the endogenous antioxidant system, which participates in defense mechanisms and may indicate some physiological stress.

Findings showed that the lowest plasma cholesterol level was observed in shrimp fed diets A (0.322 grams per kg) and B (0.628 grams per kg), suggesting an increase in cholesterol metabolism compared to those fed the Basal and C diets. The elevated plasma cholesterol concentration in shrimp fed the Basal and C diets may be associated with low recognition by cholesterol receptors, potentially due to peroxidation modification resulting from either an excess or deficiency of vitamin C.
In invertebrates, the enzyme prophenoloxidase (PO) – an indicator of health status – has the primary role of increasing the rate of the melanization process (a major defense mechanism and involved in wound healing), responsible for melanin formation. In the present study, PO activity decreased in shrimp fed diets with higher vitamin C inclusion levels (B and C). These findings suggest that the antioxidant properties of vitamin C may have suppressed PO activity by mitigating oxidative stress, thereby reducing the stimuli necessary to trigger the activation of the prophenoloxidase system. Other researchers have indicated that the effect of vitamin C on PO activation mechanisms depends on the physiological status of the organism.
Several enzymes – like SOD, CAT and GPx – act as the body’s first defense against harmful antioxidant molecules. In this study, the levels of these enzymes’ genetic instructions (mRNA) were similar across all groups. However, their actual activity varied. Shrimp fed diet C showed higher SOD and CAT activity, but GPx activity stayed the same. The increased SOD and CAT activity in diet C suggests the shrimp were under stress from too many harmful molecules, possibly due to too much vitamin C causing a pro-oxidant effect.
The results in this study indicate that vitamin C functions as an immune system enhancer up to a certain limit, from which a pro-oxidant effect then occurs. This activity was previously proposed for black tiger shrimp (Penaeus monodon), although it should be noted that vitamin requirements are species-specific, so P. monodon and P. vannamei may have different requirements. Another factor that may influence the comparison of their results is that the study with P. monodon involved juvenile individuals, while we worked with breeding males.

The observed differences in sperm cell quantity among the treatments indicate that vitamin C plays a significant role in the reproductive aspects of male P. vannamei broodstock. On the other hand, it is noteworthy that no significant differences were observed in sperm cell quality, despite the differences in quantity, as previously reported in P. brasiliensis.
These findings suggest that the quality of sperm cells may be influenced by other dietary nutrients. In terms of sperm cell production, shrimp fed diet B exhibited the highest sperm cell count, whereas those fed diet A showed the lowest. However, both groups displayed similar physiological, oxidative stress and immunological responses, indicating that 0.322 grams per kg (diet A) is insufficient to effectively stimulate sperm cell production. In contrast, the decrease in sperm cell production in the shrimp fed diet C could be associated with oxidative stress induced by a pro-oxidant effect of 0.934 grams per kg vitamin C.
Perspectives
Results of this study showed that vitamin C influences the reproductive aspects of male P. vannamei broodstock: a dietary vitamin C inclusion level of 0.628 grams per kg (diet B) reduced oxidative stress and improved physiological and immunological conditions, resulting in an increase in sperm cell production.
Findings of the study also support the proposition that vitamin requirements are species-specific. While an inclusion level of 0.934 grams per kg (diet C) of vitamin C is adequate to maintain a healthy physiological state in male P. brasiliensis broodstock, this dose appears to be excessive for P. vannamei, leading to a pro-oxidant effect. Based on the absence of significant differences observed in the transcripts of antioxidant system genes in the reproductive tract of male P. vannamei, we conclude that the effect of dietary vitamin C occurs as a biochemical adaptation expressed through antioxidant system enzyme activities.
For the shrimp farming industry, these results are highly relevant because they demonstrate that maintaining broodstock with good sperm quality can improve fertilization rates and potentially increase nauplii production. Further studies are needed to confirm the role of vitamin C in controlling oxidative stress in female shrimp to optimize reproductive outcomes.
Now that you've reached the end of the article ...
… please consider supporting GSA’s mission to advance responsible seafood practices through education, advocacy and third-party assurances. The Advocate aims to document the evolution of responsible seafood practices and share the expansive knowledge of our vast network of contributors.
By becoming a Global Seafood Alliance member, you’re ensuring that all of the pre-competitive work we do through member benefits, resources and events can continue. Individual membership costs just $50 a year.
Not a GSA member? Join us.
Authors
-
Grecia Montalvo
Unidad Multidisciplinaria de Docencia e Investigación (UMDI) Sisal, Facultad de Ciencias, Universidad Nacional Autónoma de México (UNAM), Yucatán, Hunucmá 97351, México
-
Sarabi Caballeros
Instituto Tecnológico de Conkal, Yucatán, Mérida 97345, Mexico
-
Karla Escalante
Unidad Multidisciplinaria de Docencia e Investigación (UMDI) Sisal, Facultad de Ciencias, Universidad Nacional Autónoma de México (UNAM), Yucatán, Hunucmá 97351, México
-
Alvaro Barreto
Unidad Multidisciplinaria de Docencia e Investigación (UMDI) Sisal, Facultad de Ciencias, Universidad Nacional Autónoma de México (UNAM), Yucatán, Hunucmá 97351, México
-
Martín Arenas
Departamento de Recursos del Mar, Centro de Investigación y de Estudios Avanzados del Instituto Politécnico Nacional, Unidad Mérida, Km 6 Carretera Antigua a Progreso, Cordemex, Yucatán, Mérida 97319, México
-
Gabriela Gaxiola
Corresponding author
Unidad Multidisciplinaria de Docencia e Investigación (UMDI) Sisal, Facultad de Ciencias, Universidad Nacional Autónoma de México (UNAM), Yucatán, Hunucmá 97351, México[120,109,46,109,97,110,117,46,115,97,105,99,110,101,105,99,64,99,103,103,109]
![Ad for [membership]](https://www.globalseafood.org/wp-content/uploads/2025/07/membership_web2025_1050x125.gif)