Targeted carotenoid deposition through specific algal species or carotenoid compounds can effectively improve shrimp growth, pigmentation

Carotenoids are orange, yellow and red organic pigments produced by plants and algae, as well as several bacteria, fungi and other organisms. Carotenoids give the characteristic color to pumpkins, carrots, corn, tomatoes, flamingos, canaries, salmon, lobster, shrimp and other species, and play vital roles in aquatic animals, including antioxidant, immunoregulatory and pigmentation functions.
Aquatic animals lack the ability to synthesize carotenoids de novo and must obtain them from their diet, subsequently converting dietary carotenes and xanthophylls into tissue-specific carotenoids. Dietary carotenoid supplementation not only enhances the nutritional profile of aquatic species but also improves their market appeal through vibrant coloration. Micro- and macroalgae are vital sources of carotenoids, and over the years, algae and carotenoids such as lutein, zeaxanthin and astaxanthin have gained significant attention in aquaculture as dietary supplements.
With the rapid development of shrimp farming, rising feed costs and reduced profit margin have become one of the major challenges for the industry, driving research into efficient feed formulations, particularly the development and application of feed additives that enhance shrimp growth performance and quality. Despite the increasing application of algae in shrimp aquaculture, there has been limited research on the relationship between various algae species and carotenoid types as feed additives and their effects on carotenoid deposition in Pacific white shrimp (Penaeus vannamei).
This article – summarized from the original publication (Liu, P. et al. 2025. Dietary Supplementation with Algae Powders and Carotenoids Enhances Growth Performance and Tissue-Specific Carotenoid Accumulation in Penaeus Vannamei. Animals 2025, 15(11), 1550;) – reports on a study to elucidate the absorption and tissue-specific distribution of algal-derived carotenoids in P. vannamei through analyses of carotenoids profiles in both feeds and different tissues, followed by correlation assessments between dietary intake and tissue deposition patterns.
Study setup
Juvenile P. vannamei, sourced from the Chia-Tai Ningbo Company (China), were acclimated for 14 days in a continuously aerated culture system at the Ningbo University testing facilities. Subsequently, an eight-week feeding trial was conducted using experimental feeds in an indoor flow-through seawater system. A total of 540 juveniles, averaging 2.60 ± 0.20 grams in weight, were randomly distributed into eighteen 400-liter cylindrical fiberglass tanks with 250 liters of seawater and at a stocking density of 30 shrimp per tank.
Five experimental diets were formulated with 3 percent brown algae (Saccharina japonica, SJ group; Sargassum fusiforme, SF group), red algae (Neoporphyra haitanensis, NH group), or 0.1 percent purified carotenoids (zeaxanthin, ZT group; fucoxanthin, FX group). Each feed was randomly assigned to three replicate tanks. The shrimp juveniles were fed with each feed three times daily at 6-8 percent of their body weight.
At the end of the trial, three shrimp from each tank were randomly selected and dissected on ice to collect tissues, including the second segment of muscle, exoskeleton, and hepatopancreas. Tissues from the same body part in the same tank were pooled together and stored for further carotenoid and fatty acid analysis. Each feed group was represented by three tanks, thus comprising triplicates for each group.
For detailed information on the experimental design and diets, animal husbandry, and tissue sample collection and analyses, refer to the original publication.
Carotenoids, retinoids modulate ovarian development in Litopenaeus vannamei
Results and discussion
Results showed that the three algae powder supplementations positively affected the growth performance of P. vannamei shrimp. Specifically, the final weight, weight gain (WG) and weight gain rate (WGR) of shrimp in the algal-supplemented groups (SJ group, SF group, and NH group) were approximately 1.2 to 1.3 times, 1.2 to 1.3 times and 1.4 to 1.3 times higher, respectively, compared to the control group. Additionally, the specific growth rate (SGR) in the algal-supplemented groups was about 1.2 times higher than that in the control group. The supplementation of zeaxanthin and fucoxanthin resulted in more pronounced improvements in growth, with WGR and SGR values approximately 1.65 and 1.3 times higher, respectively, compared to the control group. No significant differences were observed between the carotenoid-supplemented groups in terms of these growth parameters.
No significant differences in survival rates were observed among the control group, the algal-supplemented groups, and the carotenoid-supplemented groups, except for a statistically significant lower survival rate in the NH group compared to the control group. To investigate the color variation, the surface color parameters of the shrimp fed with different feeds were measured. The feeds with added algae powders and carotenoids all led to increases in the overall color change.
Carotenoids possess a variety of biological functions, which were beneficial for growth and pigmentation in aquatic animals. Studies have shown the positive effects of dietary carotenoids on the growth performance in shrimp when the supplemented carotenoids content exceeded 100 mg/kg, with astaxanthin exhibiting significant effects. In contrast, lower concentrations did not produce noticeable effects. However, the dosage suggested by many publications only specified the amount of carotenoid added into the feed. During the feed production process, carotenoids are prone to degradation due to factors such as high temperature and light. This degradation resulted in a reduction in the actual carotenoid content in the feed, and other researchers have reported that the actual concentration of astaxanthin in the feed for P. vannamei was reduced by nearly half compared to the theoretical amount. Therefore, the actual carotenoid content in the feed might differ significantly from the theoretically added amount.
Body color is a determinant of the quality and market value of shrimp, primarily due to the presence of various carotenoids that contribute to the pigmentation. However, crustaceans lack the enzymatic machinery required for de novo synthesis of carotenoids. Instead, they must obtain carotenoids through diets and inter-convert into different types of carotenoids within their body. Beyond their role in pigmentation, carotenoids also exert a range of physiological benefits in shrimp. They have been shown to shorten molting cycle intervals, enhance digestive efficiency, and improve stress tolerance, thereby facilitating nutrient accumulation and rapid growth, which ultimately contribute to improved overall growth performance.
Our findings were consistent with previous reports that carotenoid supplementation resulted in darker raw shrimp and a more reddish color after cooking. The shrimp raw color is related to the formation of the crustacyanin, a protein–astaxanthin complex, with higher content of astaxanthin resulting in a darker color. After cooking, this protein–astaxanthin complex would be dissociated and free astaxanthin is released to provide the vibrant color. In this study, the darker color of P. vannamei was associated with the higher content of carotenoids, particularly astaxanthin, after feeding with dietary algae powders and zeaxanthin supplementation.

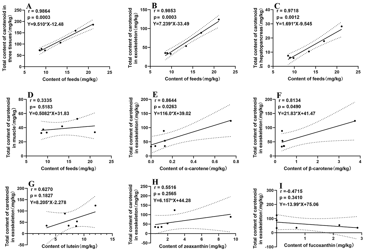
Previous studies have reported that the increased levels of dietary carotenoid led to the accumulation of carotenoids in crustaceans. In this study, the data confirmed a positive correlation between carotenoid content in the feed and that in shrimp. Specifically, each unit increase in dietary carotenoids resulted in an approximate 9.51-unit increase in the carotenoid content of shrimp. Similar patterns of carotenoid deposition were observed in the exoskeleton and hepatopancreas, whereas no significant correlation was detected in the muscle. This phenomenon could be explained by the fact that the hepatopancreas serves as the primary site for the digestion and metabolic conversion of carotenoids into astaxanthin in crustaceans.
The analytical results demonstrated a pronounced tissue-specific distribution of free astaxanthin, with the highest concentration localized in the exoskeleton, while only trace levels were detected in the hepatopancreas and muscle tissues. This distribution pattern might be attributed to the exoskeleton’s role as the primary defensive barrier against environmental stressors, where astaxanthin is strategically utilized for its potent antioxidative properties. Additionally, free astaxanthin in the exoskeleton plays an essential role in pigmentation, enabling background color matching.
Perspectives
This study represents the first application of UPLC-MS technology – a highly accurate analytical technique that shines in various areas including food analysis, toxicology, and biological assays – to investigate the effects of various algal powders and carotenoids as dietary supplements on growth performance and pigment deposition in P. vannamei. The results demonstrated that all five dietary supplements enhanced the growth performance of the shrimp. A significant positive correlation was observed between dietary carotenoid content and their deposition in shrimp tissues, with the exoskeleton serving as the primary accumulation site. Notably, N. haitanensis powder and zeaxanthin exhibited the most pronounced enhancement of carotenoid accumulation, identified as the most effective algal powder and carotenoid additive, respectively.
Furthermore, tissue-specific carotenoid accumulation was found to be mediated through free carotenoids and astaxanthin esters. These findings suggest that targeted carotenoid deposition through specific algal species or carotenoid compounds can effectively improve shrimp pigmentation. Future research will focus on elucidating the biosynthetic pathways and metabolic transformation mechanisms of carotenoids in shrimp, aiming to optimize feed formulations and enhance pigmentation outcomes through systematic biological regulation.
Now that you've reached the end of the article ...
… please consider supporting GSA’s mission to advance responsible seafood practices through education, advocacy and third-party assurances. The Advocate aims to document the evolution of responsible seafood practices and share the expansive knowledge of our vast network of contributors.
By becoming a Global Seafood Alliance member, you’re ensuring that all of the pre-competitive work we do through member benefits, resources and events can continue. Individual membership costs just $50 a year.
Not a GSA member? Join us.
Authors
-
Pujiang Liu
Collaborative Innovation Center for Zhejiang Marine High-Efficiency and Healthy Aquaculture, Ningbo University, Ningbo 315211, China
-
Chengwei Huang
Ningbo Academy of Oceanology and Fisheries, Ningbo 315012, China
-
Qian Shen
Collaborative Innovation Center for Zhejiang Marine High-Efficiency and Healthy Aquaculture, Ningbo University, Ningbo 315211, China
-
Qijun Luo
Collaborative Innovation Center for Zhejiang Marine High-Efficiency and Healthy Aquaculture, Ningbo University, Ningbo 315211, China
-
Rui Yang
Collaborative Innovation Center for Zhejiang Marine High-Efficiency and Healthy Aquaculture, Ningbo University, Ningbo 315211, China
-
Haimin Chen
Collaborative Innovation Center for Zhejiang Marine High-Efficiency and Healthy Aquaculture, Ningbo University, Ningbo 315211, China
-
Wei Wu
Collaborative Innovation Center for Zhejiang Marine High-Efficiency and Healthy Aquaculture, Ningbo University, Ningbo 315211, China
-
Juanjuan Chen
Corresponding author
Collaborative Innovation Center for Zhejiang Marine High-Efficiency and Healthy Aquaculture, Ningbo University, Ningbo 315211, China[110,99,46,117,100,101,46,117,98,110,64,110,97,117,106,110,97,117,106,110,101,104,99]
Tagged With
Related Posts
Health & Welfare
Alfalfa concentrate: natural shrimp color enhancer
Adding alfalfa concentrate containing natural carotenoids and pigments to the finishing diets of shrimp can enhance coloration of shrimp after cooking.
Aquafeeds
Astaxanthin: Feed supplement enhances pigmentation, health
Dietary carotenoids maintain optimal pigmentation and health benefits in cultured aquatic animals. Researchers consider astaxanthin an essential nutrient.
Health & Welfare
How do light-dark cycles impact the physiological processes of Pacific white shrimp?
Researching the effect of light-dark cycles on various on L. vannamei physiological processes to help improve production in controlled farming systems.
Aquafeeds
The pink powder that could revolutionize aquaculture
KnipBio, a Massachusetts-based biotechnology startup founded in 2013, is refining the manufacturing process for a promising aquaculture feed ingredient that may one day form the foundation of the food that farmed fish eat.
![Ad for [Aquademia]](https://www.globalseafood.org/wp-content/uploads/2025/07/aquademia_web2025_1050x125.gif)