Preliminary study with rainbow trout quantifies effects of peracetic acid

Products based on peracetic acid (PAA) have gained substantial attention during the last decade as a potential sanitizer to replace formaldehyde. Due to the rapid degradation of PAA without forming harmful disinfection by-products but CO2 and water, PAA is considered environmentally sound. PAA effectively controls unwanted fish pathogens at exposure levels harmless to fish, and hence is an ideal aquaculture therapeutic agent.
Fortunately, water treatment using PAA is permitted according to the European organic aquaculture standard. Here, PAA treatments have successfully been applied to ensure optimal rearing conditions and to combat unwanted skin and gill parasites. The addition of PAA into a pond typically causes an immediately altered behavior of the fish. This reaction pattern of the fish lasts for a few minutes for then to return to normal activity. The reasoning for this behavioral response can be ascribed to avoidance towards irritants or oxidative active ingredient, unpleasant scents fragrances and/or local severe drops in pH due to acidifying nature of PAA products.

The purpose of this study was to investigate and quantify the effects of PAA concentration on fish behavior. Tests were made with three dosage levels added as pulses and one test with continuous PAA addition. Information on this potential causal relationship between dosage concentration and behavioral response will allow further development and optimization of water treatment procedures taking fish welfare into account. This is expected to be not only of relevance for organic aquaculture but for aquaculture operations in general.
Study setup
Aquarium trials to test effects of PAA exposure on trout behavior were conducted at the DTU Aqua, Section for Aquaculture, Hirtshals, Denmark. Rainbow trout used for experiments were kept in a 1.7-m3 freshwater RAS. The fish were feed to satiation with 3-mm commercial pellets, reared at water temperatures of 15-16°C, at pH 7.6 – 7.8 and oxygen levels above 80 percent saturation. Average fish size (FL) was 14.0- cm (range: 12.0 -15.0 cm), with an average weight of 28.5-g (range 18 – 30 g).

Nine, 225-L aquaria, were filled with temperate (16°C) fresh water and connected to a recirculating system with a trickling filter. Each aquarium had an inlet connection and an outlet overflow allowing a fresh water exchange rate equivalent to 10 L/min. All aquaria were fitted with two air stones and were covered with a blue plastic with a grid pattern (Fig. 1). Rainbow trout were collected from the 1.7-m3 RAS and individually placed in separate aquaria, and allowed to acclimatize with constant water exchange for 24 hours. One hour before PAA addition, the inlet to each aquarium was closed, changing from flow-through conditions to static conditions to test the effect of PAA without any dilution effects. Experiments were repeated with five individual rainbow trout at each treatment, for a total of 25 fish.
A commercial trade product, Aqua Oxides®, with 15.5 percent PAA content and 10.2 percent H2O2 was used. Three pulse dosages were used: 2 mL/m3, 6 mL/m3 and 18 mL/m3, corresponding to initial concentrations of 0.31, 0.93 and 2.79 mg PAA/L. Sham additions of Milli-Q were used for the control group (PAA = 0 mg PAA/L). Peracetic acid was added instantly by syringes into the aeration zone to allow proper mixing. A separate experiment tested the effect of semi-continuous addition; here, the PAA quantity corresponding to 18 mL/m3 was added by peristaltic pumps and delivered during 30 minutes. The fish behavior was recorded with a video camera ten minutes prior to, during and after PAA until 30 minutes after addition. Individual fish (N=15) activity were each recorded for 40 minutes.

To quantify fish behavior and activity, the number of 180-degree returns was registered, as well as the number of movements from one grid to grid. Based on the dimensions of the grid (0.25 x 0.25 m), we estimated the distance covered and the average swimming speed.
Results
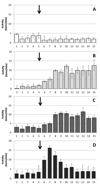
The unexposed fish in the control group were primary resting at the bottom. Limited swimming in circles occurred whereas upward behavior towards the surface did not happen. Gill ventilation among the non-exposed fish remained calm and regular. Addition of PAA induced a remarkable behavioral response, resulting in sudden intense swimming gaits at different velocity. Significantly altered behavior was noticed in terms of increased swimming activity at already low PAA dosage (2 mL/m3).
The changes occurred shortly after PAA addition where number of turns increased from 4 to 12 turns per minute and remained elevated for ten minutes (Fig. 2). Turns were abrupt and swimming seemed erratic. The activity remained high, between 8 and 12 turns per minute for 10-12 minutes, and decreased slowly until going back to a normal, low activity and speed after 35 minutes (Fig. 3).
Low and medium dosing trials significantly increased the frequency and magnitude of gill ventilation compared to unexposed groups. Behavioral response to the highest dosage (18 ml/m3) occurred immediately after addition of the chemical. The fish showed a significantly increased activity the following minutes, with more than 15 turns per minute. Within five minutes the activity ceased abruptly into characteristic restricted movements towards complete immobility. Gill ventilation was highly irregular, with periodically coughing-like behavior.
A two ways ANOVA showed a significant interaction of time and treatment concentration on fish behavior (P=0,019). The subsequent experiment testing addition of 18 mL/m3 Aqua Oxides over 30 minutes revealed a less pronounced change in activity. The response of the trout was found to be delayed and not reaching same magnitude as the experiments where PAA was added at once (Fig. 4).


Discussion
Quantification of fish behavior is complex and depends on the experimental set up and biomarkers applied. We used a simple method by roughly quantifying locomotor behavior to evaluate the effects of simulated water treatment scenarios using peracetic acid.
Under commercial conditions, fish farmers often experience altered flight and escape behavior of trout when rearing units are exposed to PAA. Here, fish typically swim away from the chemical gradient causing substantial activity and increased oxygen consumption. This reaction lasts up to 10 minutes until the disinfectant is evenly distributed and/or degraded. Fish reactions have been reported to cease following consecutive water treatment episodes, suggesting adaptation to the stressor applied.

In the present study the static setup did not allow flight to more favorable conditions. Fish responded to increasing concentration of PA, however not in a linearly way. Low doses caused prolonged, moderate reaction whereas higher dosage caused a more extreme reaction — more vigorous for a shorter period of time. The study indicated that high PAA concentration potentially caused collapse of the fish. One way to minimize the adverse effect of adding a high PAA dose is then to deliver the chemical over a prolonged period of time.
Perspectives
A behavioral change or response is not necessarily an indication of compromised welfare. In this preliminary study behavioral response was used to assess potential correlations with PAA dosage. Supportive enzymatic, biochemical and physiological biomarkers can be used along with gill and epidermal histological measures to evaluate the effects on water treatment regimens. The ultimate goal is to define the therapeutic window where fish welfare is not compromised.
The effect of PAA on trout calls for further investigation in order to link and document the mechanism of how PAA leads to stress and how this stress affects fish welfare. Improved water treatment protocols take into account measures to minimize unwanted side effects of PAA on fish performance. Ideally, observations of fish behavior could be used as guideline for acceptable practices, thereby ensuring a safer PAA application.
***
Acknowledgement: This study is part of ROBUSTFISH “New possibilities for growth and robustness in organic aquaculture” an Organic RDD 2 programme coordinated by senior advisor scientist Alfred Jokumsen, Danish Technical University, DTU Aqua.
Authors
-
Claire Zubiaurre
Technical University of Denmark
North Sea Research Center
PO Box 101, 9850 Hirtshals, Denmark[107,100,46,117,116,100,46,97,117,113,97,64,112,102,108]
-
Lars-Flemming Pedersen, Ph.D.
Technical University of Denmark
Aquapri, Lergårdvej 2, 6040 Egtved, Denmark
Tagged With
Related Posts
Aquafeeds
The Bottom Line: Feeds and water quality revisited
Uneaten or undigested feed and their metabolic byproducts contribute to declines of water quality in aquaculture systems. Accordingly, feed and feeding techniques require continuous review. Reducing overfeeding is an important opportunity for improving feed conversion ratios.
Health & Welfare
Double-stranded RNA against WSSV genes provides antiviral protection in shrimp
Silencing genes in white spot syndrome virus (WSSV) with critical roles in replication could provide a strong antiviral effect and thus reduce shrimp mortality. The authors therefore established a study to evaluate the antiviral efficacy of double-stranded (ds)RNA against non-structural WSSV genes.
Responsibility
The importance of water analysis in aquaculture
Proper monitoring of water quality in aquaculture production systems is critical to enable appropriate and timely management decisions. It requires reliable equipment, trained technicians that follow instructions and apply quality control measures, proper reagents and calibrated equipment, and appropriately collected water samples that are promptly analyzed.
Health & Welfare
Proper water circulation in aquaculture ponds critical
Promoting water circulation during the day time is an effective strategy to enrich pond water with oxygen produced by photosynthesis, and can significantly reduce the costs of night time supplemental aeration.